Electric Potential

Homework Solution

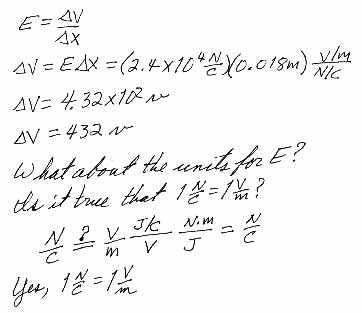
25.X4 The magnitude of the electric field between two charged parallel plates separated by 1.8 cm is 2.4 x 10 4 N/C. Find the potential difference between the two plates. How much kinetic energy is gained by a deuteron in accelerating from the positive to the negative plate?

25.X3

25.17

Return to Homework Set

(c) Doug Davis, 2002; all rights reserved