Electric Potential

Homework Solution

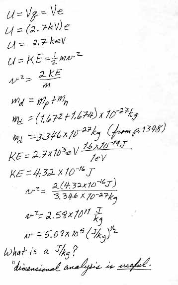
25.X2 A deuteron (a nucleus that consists of one proton and one neutron) is accelerated through a 2.7 kV potential divverence.
(a) How much energy does it gain?
(b) How fast is it going if it starts from rest?

25.X2

25.X3

Return to Homework Set

(c) Doug Davis, 2002; all rights reserved