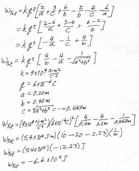
Electric Potential Homework Solution 25.33 Calculate the energy required to assemble the array of charges shown in Figure P25.32 where a = 0.20 m, b = 0.40 m, and q = 6.0 microCoulombs. 25.31 25.36 Return to Ch25 ToC (c) Doug Davis, 2002; all rights reserved
25.33 Calculate the energy required to assemble the array of charges shown in Figure P25.32 where a = 0.20 m, b = 0.40 m, and q = 6.0 microCoulombs.
25.31
25.36
(c) Doug Davis, 2002; all rights reserved