Electric Potential

Homework Solution

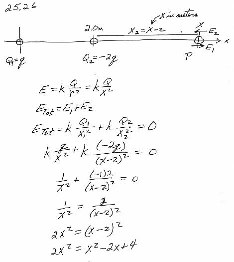
25.18 A charge + 1 is at the origin. A charge - 2 q is at x = 2.0 m on the x-axis. For what finite vale(s) of x is
(a) the electric field zero?
(b) the electric ppotential zero?

25.17

25.21

Return to Ch25 ToC

(c) Doug Davis, 2002; all rights reserved