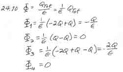
Gauss' Law Problem Solution 24.12 Four closed surfaces, S1 through S4, together with the charges - 2Q, Q, and - Q are sketched here. Find the electric flux through each surface. 24.9 24.23 Return to Homework Set (c) Doug Davis, 2002; all rights reserved
24.12 Four closed surfaces, S1 through S4, together with the charges - 2Q, Q, and - Q are sketched here. Find the electric flux through each surface.
24.9
24.23
(c) Doug Davis, 2002; all rights reserved