Ch23 Homework Solutions

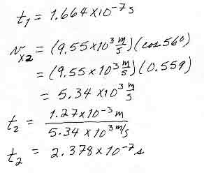
23.42. Protons are projected with an initial speed vo = 9.55 x 105 m/s into a region where the uniform electric field E = ( - 720 j) N/C is present, as in Figure P23.53. The protons are to hit a target that lies at a horizontal distance of 1.27 mm (0.00127 m) from the point where the protons are laugched. Find
(a) the two projection angles theta that would result in a hit and
(b) the total time of flight for each trajectory.

[ These solutions say "23.53" because this was problem 53 in Serway's fourth edition. But that is the same as problem 42 in this fifth edition. I have not gone to the trouble to change all these. ]

23.35

23.****

Return to Homework Set

(c) Doug Davis, 2002; all rights reserved