PHYsice 1151
Exam #4
December 7, 2005

![]()
| Calendar Page | Old Exams |
![]()
1. If you have a fever of 104° on a Fahrenheit thermometer, what is your temperature on a Celsius thermometer?

2. A cup of coffee, initially at 90°C cools to 80°C in 10 minutes while sitting in a room that is at 25°C.
How long do we need to wait before the coffee cools down to 40°C?
[ This was a tough problem. Its solution contains ample opportunities to use the wrong temperatures or simply to do calculational or arithmetical errors. I was generally proud of your solutions. Ya done good! ]

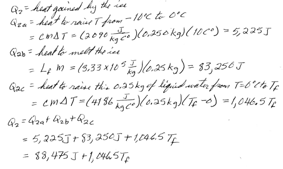
3. 0.250 kg of ice at – 10°C is dropped into 0.500 kg of water at 30°C. Assume no heat is exchanged to the surrounding environment.
What is the final temperature? How much ice remains?
The specific heat of water is cwater = 4186 J/kg-C°
The specific heat of ice is cice = 2090 J/kg-C°
The latent heat of fusion for ice/water is Lf = 3.33 x 105 J/kg
[ This was aanother tough problem. It was long and involved and time-consuming (for you -- and for me!) It was quite involved: when do you need c = 2090 and when do you need c = 4186? Where does the 0.250 kg go? Where does the 0.500 kg go? And more than ample opportunity for even simple arithmetic errors. Details! Details! Details! Be very careful with the details. But, and again, I was generally pleased with your solutions -- even when they were not fully correct. Again, ya done good! ]





[ Now the questions get easier! ; - ) ]
4. Gas at 1.5 atm expands from 2.5 liters to 3.5 liters.
How much work is done by the gas?
Recall that 1 atm = 1.013 x 105 Pa

5. A reversible heat engine whose efficience is 15 percent does 180 J of work. How much heat does it absorb from the hot reservoir?

![]()
| Calendar Page | Old Exams |
![]()